芯城品牌采购网 > 品牌资讯 > 元器件百科 > 低噪声放大器

低噪声放大器

芯城品牌采购网

25515

噪声放大器简介

噪声放大器(low noise amplifier)是噪声系数很低的放大器。一般用作各类无线电接收机的高频或中频前置放大器,以及高灵敏度电子探测设备的放大电路。在放大微弱信号的场合,放大器自身的噪声对信号的干扰可能很严重,因此希望减小这种噪声,以提高输出的信噪比。由放大器所引起的信噪比恶化程度通常用噪声系数 F来表示。理想放大器噪声系数 F=1(0分贝) ,其物理意义是输出信噪比等于输入信噪比。现代的低噪声放大器大多采用晶体管、场效应晶体管;微波低噪声放大器则采用变容二极管参量放大器 ,常温 参放的 噪声 温度 Te 可低于几十度(绝对温度),致冷参量放大器可达 20K以下,砷化镓场效应晶体管低噪声微波放大器的应用已日益广泛,其噪声系数可低于 2 分贝。放大器噪声系数还与晶体管的工作状态以及信源内阻有关。在工作频率和信源内阻均给定的情况下,噪声系数也和晶体管直流工作点有关。为了兼顾低噪声和高增益的要求,常采用共发射极一共基极级联的低噪声放大电路。

低<a href ='https://www.baidu.com/s?wd=%E5%99%AA%E5%A3%B0' target='_blank' style='text-decoration: none;'>噪声</a><a href ='https://www.baidu.com/s?wd=%E6%94%BE%E5%A4%A7%E5%99%A8' target='_blank' style='text-decoration: none;'>放大器</a>

噪声放大器技术指标

噪声放大器的主要技术指标包括:噪声系数、功率增益、输入输出驻波比、反射系数和动态范围等。由于设计低噪声放大器时,在兼顾其他各指标的同时,主要考虑噪声系数。噪声系数是信号通过放大器(或微波器件)后,由于放大器(或微波器件)产生噪声使得信噪比变坏。信噪比下降的倍数就是噪声系数,通常用NF表示。放大器自身产生的噪声常用等效噪声温度表示。噪声温度与噪声系数NF的关系

1.png

式中,T0为环境温度,通常以绝对温度为单位,293 K,注意:这里的噪声系数NF并非以dB为单位。

对于单级放大器噪声系数的计算公式为

2.png

式中,NFmin为晶体管最小噪声系数,由晶体管本身决定;Γout、Rn、Гs分别为获得NFmin时的最佳源反射系数、晶体管等效噪声电阻、晶体管输入端的源反射系数。

而多级放大器噪声系数的计算公式为

3.png

式中,NF总为放大器整机噪声系数;NF1、NF2、NF3分别为第1,2,3级的噪声系数;G1、G2分别为第1,2级功率增益。

从式(3)看出,当前级增益G1和G2足够大时,整机的噪声系数接近第l级的噪声系数。因此多级放大器中,第1级的噪声系数大小起决定作用。


噪声放大器噪声参数

影响放大器噪声性能的参数中最重要的两个参数是:电压噪声和电流噪声。电压噪声是指在没有它噪声干扰的情况下,放大器输入短路时出现在输入端的电压波动。电流噪声是指在没有其它噪声干扰的情况下,放大器输入开路时出现在输入端的电流波动。

描述放大器噪声的典型指标是噪声密度,也称作点噪声。电压噪声密度单位为nV/,电流噪声密度通常表示为pA/。在低噪声放大器数据资料中可以找到这些参数,而且,一般给出两种频率下的数值:一个是低于200Hz的闪烁噪声;另一个是在1kHz通带内的噪声。简单起见,这些测量值以放大器输入端为参考,不需要考虑放大器增益。

图1所示为电压噪声密度与频率的对应关系曲线。噪声曲线与两个主要的噪声成份有关:闪烁噪声和散粒噪声。闪烁噪声是所有线性器件固有的随机噪声,也称作1/f 噪声,因为噪声振幅与频率成反比。闪烁噪声通常是频率低于200Hz时的主要噪声源,如图1所示。1/f角频率是指噪声大小基本相同、不受频率变化影响的起始频率。散粒噪声是流过正向偏置pn结的电流波动所造成的白噪声,也出现在该频段。值得注意的是:电压噪声的1/f角频率与电流噪声的1/f角频率可能会不同。

1.png

图1. 电压噪声密度与频率的关系曲线,主要受两种噪声源的影响:闪烁噪声和散粒噪声。闪烁噪声或1/f噪声与频率成反比,是频率低于200Hz时的主要噪声源。

放大器电路的总噪声取决于放大器本身、外部电路阻抗、增益、电路带宽和环境温度等参数。电路的外部电阻所产生的热噪声也是总噪声的一部分。图2所示为放大器和相关噪声成份的实例。

2.png

图2. 放大电路的源阻抗决定占主导地位的噪声类型,源阻抗升高时,电流噪声为主要来源。

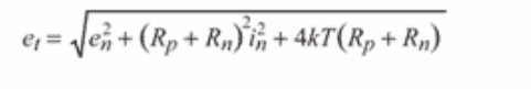
噪声放大器噪声计算

特定频率下运算放大器总输入噪声的标准表达式为:

1.png

where:

Rn = 反相输入等效串联电阻

Rp = 同相输入等效串联电阻

en = 特定频率下输入电压噪声密度

in = 特定频率下输入电流噪声密度

T = 以开尔文(°K)为单位的绝对温度

k = 1.38 x 10-23 J/°K (波尔兹曼常数)。

公式1是指定频率下噪声与带宽对应关系。为计算总噪声,用et (以nV/为单位)乘以带宽的平方根即可。例如,如果放大器的带宽范围为100Hz至1kHz,那么,下式就是整个带宽范围内的总噪声

2.png

上述例子给出了电压噪声和电流噪声在整个带宽范围内固定时,总噪声的计算公式(适用于放大器电路带宽的较低频率值大于运算放大器的电压噪声和电路噪声1/f频率的情况)。如果电压噪声和电流噪声在整个带宽范围内是变化的,那么总噪声的计算公式要更复杂。

根据公式1和图2可很容易地看出电路源阻抗对噪声的影响。源阻抗较低的系统,电压噪声是主要的噪声来源;源阻抗增大时,电阻噪声占主导地位,甚至可以忽略放大器的电压噪声。源阻抗继续增大时,电流噪声成为噪声的主要因素。


免责声明:
文章内容转自互联网,不代表本站赞同其观点;
如涉及内容、图片、版权等问题,请联系2644303206@qq.com我们将在第一时间删除内容!